• Ir para o conteúdo 1
  • Ir para o menu 2
  • Ir para a busca 3
  • Ir para o rodapé 4
  • Acessibilidade
  • Alto Contraste
  • Mapa do site
  • Portal do Governo Brasileiro
  • Atualize sua Barra de Governo
UNIVERSIDADE FEDERAL DA PARAÍBA - UFPB
Arquivo Central
REITORIA
Buscar no portal
  • YouTube
  • Instagram
  • Contato
Você está aqui: Página Inicial > Contents > Notícias > Relação de Contas da UFPB aprovadas pelo TCU > Parte 2
menu Menu

Logo.png

Navegação
  • Desenvolvido por GWEB
INSTITUCIONAL
  • Quem somos ?
  • Unidades Administrativas
  • Central de Atendimento
  • Galeria de Fotos
  • Instrumentos Normativos
  • Trajetória Arquivística da UFPB
  • Abrir Processos Online
  • Cronograma de Atividades Anuais
  • Relatório Setorial
SERVIÇOS
  • Comissão Permanente de Avaliação de Documentos (CPAD)
  • Coordenação de Gestão de Documentos, Registros Digitais e Sistemas
  • Coordenação de Arquivos e Registros Intermediários e Permanentes
Boletim de Serviços
  • Boletins de Pessoal
  • Boletins de Serviço
conteúdo
Info

Parte 2

Tweet
por Arquivo Central — última modificação 28/06/2019 17h36
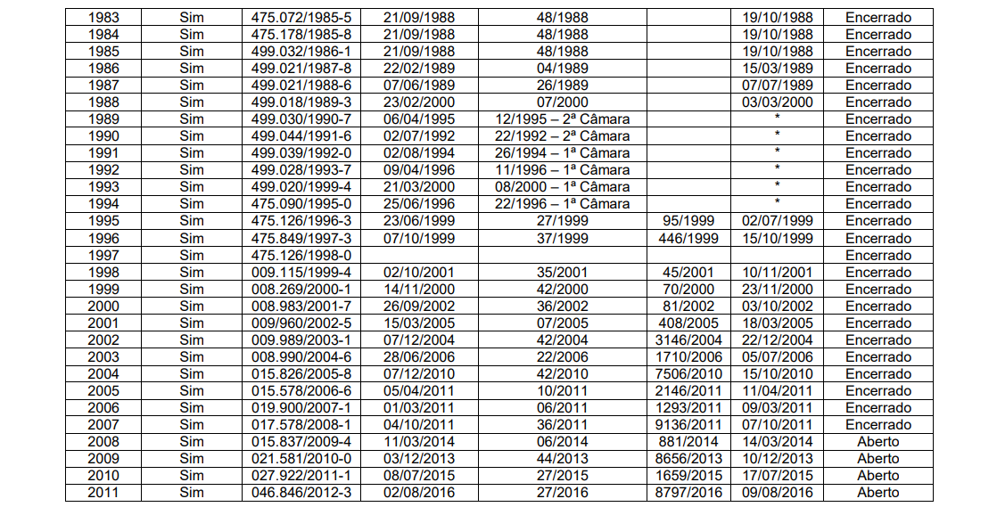
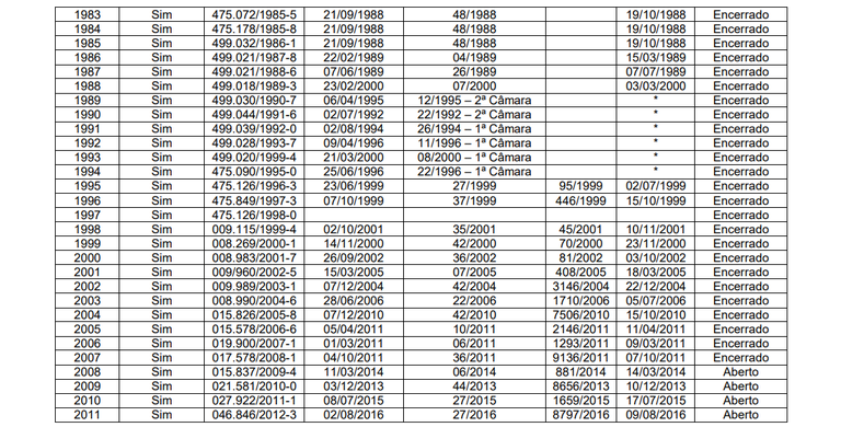
1983 - 2011
Parte 2
Clique para ver a imagem no tamanho completo…
— Tamanho: 163KB
Voltar para o topo
rodapé
Assuntos
UFPB
MEC
CAPES
CNPq
Institucional
Ouvidoria
Comitê de Inclusão e Acessibilidade
Acesso a Informação
Comissão Permanente de Avaliação
Redes sociais
Instagram
Youtube
RSS
O que é?
Navegação
Acessibilidade
Mapa do site

Desenvolvido com o CMS de código aberto Plone